Product:Musk xylene
CAS NO:81-15-2
Synonyms:5-TERT-BUTYL-2,4,6-TRINITRO-M-XYLENE;MUSK XYLOL
Package:25 kg drum or bag
Structure:

Specs:
Appearance:light yellow crystalline powder
Assay:99.5%min
Application:
Musk xylene is a synthetic musk fragrance which mimics natural musk. It has been used as a perfume fixative in a wide variety of consumer products, and is still used in some cosmetics and fragrances.
Musk xylene was once the most widely used of the "nitro-musks", but its use has declined sharply since the mid-1980s due to safety and environmental concerns. Its explosive and carcinogenic hazards are recognized to be borderline, and musk xylene is a useful example of the lowest level of such risks which need to be taken into account. However, it is a very persistent and very bioaccumulative pollutant in the aquatic environment (vPvB substance), and is the first substance to be proposed as a "substance of very high concern" (SVHC) for these reasons alone under the European Union REACH Regulation. Since no company has applied for authorisation, therefore it is banned in the EU.
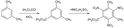
Synthesis Route:
Musk xylene is produced from meta-xylene (1,3-dimethylbenzene), by a Friedel–Crafts alkylation with tert-butyl chloride and aluminium chloride followed by nitration with fuming nitric acid or with a 70:30 mixture of nitric acid and sulfuric acid.The crude product is recrystallized from 95% ethanol.

Related Products:139-07-1,CAS 60-12-8,507-20-0,90-64-2,heptane 142-82-5,25895-60-7,420-04-2,156-62-7.